প্রাকৃতিক বিবর্তন একজন মানুষকে জন্ম থেকে ফুটবলার করে গড়ে তোলে না। এটা ঠিক, যে পা দিয়ে আপনি ফুটবলে লাথি দেন সেটা তৈরি করে বিবর্তন। যে কনুই দিয়ে প্রতিপক্ষের খেলোয়াড়কে গুঁতো মেরে আপনি হলুদ কার্ড পান সে শক্ত কনুইয়ের পেছনে অবদান বিবর্তনের। যে মুখ দিয়ে অন্য খেলোয়াড়কে গালি দেন বিবর্তনই তা ধীরে ধীরে তৈরি করেছে। কিন্তু বিবর্তনের এতসব উপহার বড়জোর আমাদের একা একা ফাঁকা একটা গোলবারে পেনাল্টি কিক করার সুযোগটুকুই করে দিতে পারে। একটা সত্যিকারের ফুটবল ম্যাচ খেলতে হলে আপনাকে বিকেলবেলা স্কুলের মাঠে অচেনা কিছু মানুষকে খেলার সঙ্গী করে নিতে হবে। পাশাপাশি এটাও নিশ্চিত করতে হবে যে দুই পক্ষের সব খেলোয়াড়েই যেন একই নিয়ম মেনে চলে। যেসব হিংস্র প্রাণী অচেনা কিছু দেখলেই আক্রমণাত্মক ভঙ্গিতে তেড়ে আসে তারা তাদের জন্মগত স্বভাব থেকেই সেটা করে। কুকুরের ছানা সব দেশেই সব জায়গাতেই একই কায়দায় নিজেদের মধ্যে মারামারি, খুনসুটি করতে থাকে – কারণ সেটা তাদের জিনগত সংকেতে লিপিবদ্ধ করা থাকে। কিন্তু কিশোর একটা ছেলের জিনে ফুটবল খেলার নিয়ম-কানুন লিপিবদ্ধ থাকে না। তারপরও তারা অচেনা ছেলেদের সাথে ফুটবল খেলতে পারে, কারণ তারা সবাই ফুটবল খেলার একই নিয়ম-কানুন শিখেছে। নিয়ম-কানুনের পুরোটাই মানুষের কল্পনা থেকে বানানো, কিন্তু সেটা সবাই জানে এবং মানে বলেই সকলে মিলে একসাথে খেলাধুলা করা সম্ভব হয়।
শুধু একটা গুরুত্বপূর্ণ তফাৎ বাদ দিলে ফুটবল দলের মতো খেলার নিয়মের এই ধারণা রাষ্ট্র, চার্চ কিংবা ব্যবসাকেন্দ্রের মত বড় বড় মানব সংগঠনের ক্ষেত্রেও প্রযোজ্য। আমাদের শিকারি পূর্বপুরুষদের যেমন একটি গোষ্ঠীতে বা ছোট একটি গ্রামে বাস করতে অল্প কিছু সরল এবং সুনির্দিষ্ট নিয়ম মানতে হতো, ফুটবল খেলার নিয়মগুলোও অনেকটা তার সমতুল্য। প্রত্যেক খেলোয়াড়ই খেলার সবগুলো নিয়ম মনে রাখার পাশাপাশি গান, ছবি বা বাজারের ফর্দও মনে রাখতে পারে। কিন্তু বড় বড় মানব প্রতিষ্ঠানগুলোকে হাজার হাজার এমনকি লাখ লাখ মানুষকে একসাথে নিয়ে কাজ করতে হয়। তাদেরকে অনেক অনেক তথ্য এবং নিয়ম-কানুন জমা রাখতে হয়। এত তথ্য এবং নিয়ম-কানুন মনে রাখা এবং সেসব প্রয়োগ করার মতো ক্ষমতা একজন মানুষের মস্তিষ্কে থাকে না।
মানুষ ছাড়া অন্য যেসব প্রাণী বড় বড় দল বেঁধে থাকে (যেমন, পিঁপড়া ও মৌমাছি), তাদের দলগুলো অপেক্ষাকৃত স্থায়ী এবং নমনীয়। এর কারণ হলো দলবদ্ধ হয়ে থাকবার জন্য প্রয়োজনীয় সব নিয়ম-কানুন সরাসরি তাদের জিনোমে লিপিবদ্ধ করা আছে। উদাহরণস্বরূপ, একটা নারী মৌমাছির লার্ভা পরিণত হয়ে রাণী মৌমাছি না কর্মী মৌমাছি হবে তা নির্ভর করে তাকে কীরকম খাবার দেয়া হচ্ছে তার উপর। বড় হবার পর সমাজে দায়িত্ব অনুযায়ী তার আচার-আচরণ কেমন হবে সেসবও তার ডিএনএ-তেই সরাসরি লেখা থাকে। মৌমাছিদের সামাজিক কাঠামোও মানুষের মতোই বেশ জটিল হতে পারে। সেখানে নানা ধরনের কর্মী মৌমাছি থাকতে পারে- খাদ্য সংগ্রাহক কর্মী, সেবিকা কর্মী, পরিচ্ছন্নতা কর্মী ইত্যাদি। কিন্তু, গবেষকরা মৌমাছি সমাজে এখন পর্যন্ত কোন ‘আইনজীবী’ মৌমাছির সন্ধান পাননি। যেহেতু তাদের আচার-আচরণ, সামাজিক দায়িত্ব সব ডিএনএতে লেখা থাকে, মৌমাছিদের সমাজে উকিলের দরকার নেই। তাদের সমাজে কারও ‘মৌমাছি সংবিধান’ ভুলে যাবার বা অমান্য করার সম্ভাবনাও নেই। রাণী মৌমাছিরা কখনও পরিচ্ছন্নতার কাজে নিয়োজিত মৌমাছির কাছ থেকে ষড়যন্ত্র করে খাবার কেড়ে নেয় না এবং কর্মী মৌমাছিরাও কখনও বেতন বাড়ানোর জন্য হরতাল অবরোধ করে না।
মজার ব্যাপার হলো, মানুষের সমাজে কিন্তু এরকম অনিয়ম অহরহই ঘটে থাকে। কারণ হিসেবে বলা যায়, মানুষ তাদের কল্পনাপ্রসূত এসব সামাজিক কাঠামোর ধারণা চাইলেই তাদের ডিএনএ তে লিপিবদ্ধ করে পাকাপাকিভাবে তাদের পরবর্তী প্রজন্মে স্থানান্তর করতে পারে না। মানুষের সমাজের আইন-কানুন, সামাজিক আচরণ, বিধি-বিধানের সবটুকুই প্রত্যেক মানব শিশুকে জন্মের পর থেকেই একটি সচেতন প্রচেষ্টার মধ্য দিয়ে শিখতে হয়। এ শেখার ব্যাপারটা না থাকলে মানুষের যে কোনো সামাজিক কাঠামো ভেঙে পড়তে বাধ্য। উদাহরণস্বরূপ, ব্যাবিলনের রাজা হামুরাবির (শাসনকাল আনুমানিক খ্রিস্টপূর্ব ১৭৯২ সাল থেকে ১৭৫০) কথা ধরা যাক। তার জারি করা বিধান অনুযায়ী, সমাজের মানুষ তিনটি স্তরে বিভক্ত- অভিজাত মানুষ, সাধারণ মানুষ এবং দাস। মৌমাছির সমাজের স্তরবিন্যাসের মতো এই স্তরবিন্যাস প্রাকৃতিকভাবে সৃষ্ট নয় অর্থাৎ মানুষের জিনে এরকম কোনো স্তরবিন্যাসের কথা লেখা নেই। যদি ব্যাবিলনের লোকজন নিজে থেকে এই স্তরবিন্যাসের নিয়ম মনে না রাখত, তাহলে তাদের তৎকালীন সামাজিক কাঠামো টিকে থাকাই অসম্ভব হয়ে যেত। যখন রাজা হামুরাবির ডিএনএ তার পরবর্তী প্রজন্মের কাছে গেল, তাতেও কিন্তু রাজা হামুরাবির রাজ্যের বিধি-বিধান লিপিবদ্ধ ছিল না। “যদি একজন অভিজাত শ্রেণীর মানুষ একজন সাধারণ শ্রেণীর নারীকে হত্যা করেন, তাহলে হত্যাকারীকে ত্রিশটি রুপার মুদ্রা জরিমানা হিসেবে দিতে হবে” – এরকম আইন ডিএনএতে লিপিবদ্ধ করা সম্ভব ছিলো না। হামুরাবিকে কষ্ট করে এসব আইন-কানুন তার ছেলেমেয়েদের শেখাতে হয়েছে, তারা আবার শিখিয়েছে তাদের সন্তানদের। আইন-কানুনগুলো টিকিয়ে রাখার জন্য তার বংশধরদেরকেও প্রজন্ম থেকে প্রজন্মে এই শেখানোর প্রক্রিয়া চালিয়ে যেতে হয়েছে।
একটা সাম্রাজ্যকে টিকে থাকতে হলে, তার অনেক রকম তথ্যের দরকার হয়। আইন-কানুন ছাড়াও, সাম্রাজ্যগুলোকে সবার টাকা-পয়সার লেনদেন, খাজনা, প্রতিরক্ষা বাহিনীর অস্ত্র ও গোলাবারুদের মজুদ, বণিকদের জাহাজ, উৎসব-পার্বণ ও যুদ্ধ জয়ের দিন-ক্ষণের হিসাব রাখতে হয়। লক্ষ লক্ষ বছর ধরে মানুষ তার মস্তিষ্কে এসব তথ্য জমা রাখত। দুঃখজনক ব্যাপার হলো, প্রধানত তিনটি কারণে মানুষের মস্তিষ্ক একটি সাম্রাজ্যের এই বিশাল পরিমাণ তথ্য জমা রাখার জন্য উপযুক্ত নয়।
প্রথমত, মস্তিষ্কের ধারণক্ষমতা সীমাবদ্ধ। এ কথা সত্যি, কিছু কিছু লোকের স্মৃতিশক্তি সত্যিই অসাধারণ। প্রাচীনকালে এরকম অসাধারণ স্মৃতিশক্তির মানুষজনকে কেবলমাত্র রাজ্যের প্রাকৃতিক বৈশিষ্ট্য, ভৌগোলিক খুঁটিনাটি এবং রাজ্যের সমস্ত রকম আইন-কানুন নিখুঁতভাবে মনে রাখবার জন্যই চাকরিতে নিয়োগ দেয়া হতো। কিন্তু, অসাধারণ স্মৃতিশক্তিধারী মানুষদেরও মনে রাখার একটা সর্বোচ্চ সীমা আছে। একজন আইনজীবীর পক্ষে হয়তো ম্যাসাচুসেটস রাজ্যের বর্তমান সব আইনকানুন মুখস্থ রাখা সম্ভব, কিন্তু ১৬৯২-১৬৯৩ সালে ঘটা সালেমের ডাকিনীদের বিচারের (Salem Witch Trial) পর থেকে সুদীর্ঘ তিন শতাব্দী ধরে ম্যাসাচুসেটস রাষ্ট্রে কোন আইন কী অবস্থায় প্রণীত হয়েছে বা কোন আইন প্রবর্তনের পরিপ্রেক্ষিত কী ছিলো সেসবের সমস্ত খুঁটিনাটি মনে রাখা তার পক্ষে একেবারেই অসম্ভব।
দ্বিতীয়ত, মানুষ মরণশীল। মানুষ মারা যাবার সাথে সাথে তার মস্তিষ্কেরও মৃত্যু ঘটে। একটা মানুষের গড় আয়ু যেহেতু একশ বছরেরও কম, সুতরাং একটা মস্তিষ্কে জমা রাখা সকল তথ্য একশ বছরের আগেই মুছে যাবে এটা মোটামুটি নিশ্চিত। এ কথা ঠিক, মানুষ তার মস্তিষ্কে জমানো তথ্য কথাবার্তা, আকার-ইঙ্গিত বা অভিনয়ের মাধ্যমে সরাসরি অন্য মস্তিষ্কে স্থানান্তর করতে পারে। কিন্তু, এভাবে কেবল আংশিক তথ্যেরই স্থানান্তর সম্ভব এবং সেই স্থানান্তরের সময় প্রতিবারই কিছু ভুল-ত্রুটি থেকে যায় (উদাহরণ- বলার ত্রুটি, শোনার ত্রুটি, অভিনয়ের ত্রুটি, অভিনয়ের অর্থ বোঝার ত্রুটি)। এইসব কারণে, মাত্র কয়েকবার এক মস্তিষ্ক থেকে অন্য মস্তিষ্কে তথ্য পাঠালে তার অর্থ অনেকটাই পাল্টে যায় এবং অনেক সময়ই মূল অর্থ পুরোপুরি হারিয়ে যায়।
তৃতীয় এবং সবচেয়ে গুরুত্বপূর্ণ কারণটি হলো, মানুষের মস্তিষ্ক কেবলমাত্র কিছু বিশেষ ধরণের তথ্য জমা করা এবং সেসব নিয়ে কাজ করার জন্যই যুগ যুগ ধরে বিবর্তিত হয়েছে। মানুষের পূর্বপুরুষদেরকে তাদের অস্তিত্বের অধিকাংশ সময় কাটাতে হয়েছে শিকারি-সংগ্রাহক হিসেবে। এই পুরো সময়টাতে টিকে থাকার জন্য তাদেরকে হাজার হাজার গাছপালা এবং প্রাণীর আকার-আকৃতি, বৈশিষ্ট্য এবং গুণাগুণ বিষয়ক তথ্য মনে রাখতে হয়েছে। তাদের মনে রাখতে হয়েছে, হেমন্তকালে এলম (Elm) গাছের নিচে জন্মানো কোঁকড়ানো হলুদ রঙের মাশরুম বিষাক্ত হওয়ার সম্ভাবনা বেশি এবং শীতকালে ওক (Oak) গাছের নিচে জন্মানো ওই একই ধরনের মাশরুম পেট ব্যাথার মহৌষধ। শিকারি-সংগ্রাহকদেরকে তাদের গোত্রের অন্যান্য মানুষগুলোর চিন্তা-ভাবনা এবং তাদের পারস্পরিক সম্পর্কের ব্যাপারটাও সব সময় মাথায় রাখতে হত। রাজ্জাক যদি শাবানাকে খুব উত্ত্যক্ত করতো এবং রাজ্জাকের বিরক্তিকর আচরণ থেকে মুক্তি পাবার জন্য শাবানার যদি তৃতীয় কারো সাহায্যের দরকার পড়তো, তাহলে শাবানার জন্য এই কথাটা জানা জরুরি ছিলো যে, রাজ্জাকের সাথে গত সপ্তাহ থেকে ববিতার ঝামেলা চলছে। কারণ, সেক্ষেত্রে ববিতাকে বললেই সে রাজ্জাককে লাইনে আনার ব্যাপারে শাবানাকে সাহায্য করতে সানন্দে এবং উৎসাহের সাথে রাজি হতো। এক কথায় বলা যায়, বিবর্তনীয় চাপই মানুষকে উদ্ভিদ, প্রাণী, চারপাশের প্রকৃতি এবং সামাজিক সম্পর্ক এসব সম্বন্ধে বিপুল পরিমাণ তথ্য তার মস্তিষ্কে জমা রাখতে বাধ্য করেছিল।
কৃষিভিত্তিক বিপ্লবের পর থেকে মানুষ অপেক্ষাকৃত বড় এবং জটিল ধরনের সমাজ গঠন করতে শুরু করল এবং এই নতুন ধরনের সমাজে সম্পূর্ণ নতুন এক ধরনের তথ্য জমা রাখা মানুষের জন্য অত্যন্ত গুরুত্বপূর্ণ হয়ে উঠল। সেটা হল- ‘সংখ্যা’। শিকারি-সংগ্রাহকদের কখনই গাণিতিক তথ্য জমা রাখার তেমন দরকার পড়েনি। উদাহরণস্বরূপ, কোন গাছে কয়টা আম ধরলো তার হিসাব নিকাশ কোনো শিকারি-সংগ্রাহকই রাখত না। এইসব কারণে এতকাল ধরে মানুষের মস্তিষ্ক কখনই গাণিতিক তথ্য মনে রাখা বা সূক্ষ্ম হিসাব-নিকাশ করার জন্য বিবর্তিত হয়নি। অথচ, একটি বড় রাজ্য পরিচালনার জন্য গাণিতিক তথ্য ছিলো অপরিহার্য। শুধুমাত্র আইন-কানুন প্রণয়ন এবং দেব-দেবীদের গল্পে মানুষের বিশ্বাস তৈরি করাই একটি রাজ্য শাসনের জন্য যথেষ্ট ছিল না। রাজ্য চালাতে গেলে কর আদায় করতে হতো। রাজ্যের হাজার হাজার মানুষের উপর কর আরোপ করা এবং করের পরিমান নির্ধারণ করার জন্য সবার বেতন এবং সম্পত্তির পরিমাণ, রাজ্যের খরচাপাতি, জরিমানা, মেয়াদোত্তীর্ণ ধার-কর্জের হিসাব, কর মওকুফ বা ছাড় সম্পর্কিত তথ্যাদি জমা রাখার দরকার হতো। একটা রাজ্যের টিকে থাকার জন্য প্রয়োজনীয় এইসব তথ্যের পরিমাণ ছিল বিশাল। এই বিশাল পরিমাণ তথ্য জমা রাখতে না পারলে এবং সেসব নিয়ে কাজ করতে না পারলে একটা রাজ্যের পক্ষে কোনোভাবেই জানা সম্ভব ছিল না যে, তার কী কী সম্পদ আছে এবং ভবিষ্যতে তার পক্ষে আরও কী কী সম্পদ আহরণ করা সম্ভব। মানুষের মস্তিষ্ক এতসব সংখ্যাসূচক তথ্য মনে রাখার উপযোগী ছিল না। কিন্তু একসময় হঠাৎ করেই এসব তথ্য মুখস্থ করা, মনে রাখা এবং দৈনন্দিন জীবনে ব্যবহার করা তাদের জন্য অপরিহার্য হয়ে পড়ল। তখন অধিকাংশ মানুষই হয় তথ্যে তাদের মস্তিষ্ক টইটম্বুর করে ফেলল নতুবা হাল ছেড়ে দিল। এই বিশাল পরিমাণ সংখ্যানির্ভর তথ্য যেন প্রবাদের সেই কাঁকুড়ের তের হাত বিচি আর মানুষের মস্তিষ্ক যেন বার হাত কাঁকুড়।
সংখ্যাসূচক তথ্য মনে রাখার ব্যাপারে মানুষের মস্তিষ্কের এই সীমাবদ্ধতা দীর্ঘকাল মানুষকে অনেক বড় এবং জটিল ধরনের কোনো মানব সংগঠন গঠন করতে দেয়নি। মানুষের কোনো একটি বিশেষ দল বা গোষ্ঠীর সদস্য সংখ্যা একটা নির্দিষ্ট সীমা অতিক্রম করলেই, তাদের একসাথে থাকার জন্য বিপুল পরিমাণ গাণিতিক তথ্য সংগ্রহ এবং পর্যালোচনা করার দরকার পড়ত। যেহেতু, মানুষের মস্তিষ্ক এই কাজটা করতে পারত না, সুতরাং সেই বিশেষ দল বা গোষ্ঠী একসময় ভেঙে পড়ত। সেই কারণেই, কৃষি বিপ্লবের হাজার হাজার বছর পরেও মানুষের সামাজিক প্রতিষ্ঠানগুলোর আকার ছিলো অপেক্ষাকৃত ছোট এবং সরল।
এই সমস্যার প্রথম সমাধান বের করেছিল দক্ষিণ মেসোপটেমিয়ার অধিবাসী প্রাচীন সুমেরীয়রা। সেখানে উর্বর কাদা মাটিকে চিরে ফেলা তপ্ত সূর্যের আলো বয়ে আনত পর্যাপ্ত ফসলের সমারোহ। আর এই ফসলের সমারোহ সেখানে তৈরি করল সমৃদ্ধ নগর। নগরবাসীর সংখ্যা যতই বাড়তে থাকল, তাদের দৈনন্দিন কার্যকলাপ সুষ্ঠুভাবে পরিচালনার জন্য প্রয়োজনীয় গাণিতিক তথ্যের পরিমাণও বাড়তে থাকল। এই সমস্যার সমাধান করতে আনুমানিক খ্রিস্টপূর্ব ৩৫০০ থেকে ৩০০০ অব্দের মাঝে কিছু নাম না জানা সুমেরীয় পণ্ডিত গাণিতিক তথ্য জমা রাখার একটা উপায় বের করলেন। তাদের নিজেদের উদ্ভাবিত এই পদ্ধতির মূল লক্ষ্য ছিল অনেক বেশি পরিমাণ গাণিতিক তথ্য সংরক্ষণ করতে পারা। এর মাধ্যমে সুমেরীয়রা প্রথম বড় বড় সমাজ কাঠামো তৈরির ব্যাপারে মানব মস্তিষ্কের তথ্য জমা রাখার সীমাবদ্ধতা থেকে মুক্ত হল। তৈরি হতে লাগলো শহর, রাজ্য এবং সাম্রাজ্য। মানব মস্তিষ্কের বাইরে তথ্য সংগ্রহ ও পর্যালোচনার জন্য সুমেরীয়রা যে পদ্ধতির উদ্ভব ঘটায়, তার নাম ছিল- ‘লেখনী’।
সত্যায়িত, ‘কুশিম’
লেখনী হলো বস্তুজগতের কিছু প্রতীক বা চিহ্নের মাধ্যমে তথ্য জমা রাখার একটি পদ্ধতি। সুমেরীয়রা কাদামাটির ফলকে তাদের প্রয়োজনীয় তথ্যাদি লিপিবদ্ধ করে রাখত। তাদের বর্ণমালা তৈরি হয়েছিল দুই ধরনের প্রতীক বা চিহ্নের সমন্বয়ে। এক ধরনের চিহ্ন সংখ্যা বোঝাতে ব্যবহৃত হতো। ১, ১০, ৬০, ৬০০, ৩৬০০ এই সংখ্যাগুলোর জন্য তাদের বর্ণমালায় আলাদা আলাদা প্রতীক বা চিহ্ন ছিল (এখানে জানিয়ে রাখা দরকার, সুমেরীয়রা ৬ ভিত্তিক এবং ১০ ভিত্তিক সংখ্যার সমন্বিত একটা সংখ্যাপদ্ধতি ব্যবহার করত। সম্ভবত তাদের ৬ ভিত্তিক সংখ্যা ব্যবস্থা থেকে অনুপ্রাণিত হয়ে পরবর্তীকালের মানুষজন একটি দিনকে ২৪ ঘন্টায় ভাগ করার বা একটি বৃত্তকে ৩৬০ ডিগ্রিতে ভাগ করার ধারণা পায়)। অন্য আরেক ধরনের প্রতীক বা চিহ্ন দিয়ে তারা মানুষ, পশু-পাখি, কেনাবেচার পণ্য, রাজ্যের সীমানা, দিন-তারিখ এসব তথ্য জমা রাখত। এই দুই ধরনের চিহ্ন দিয়ে তৈরি করা লিখন পদ্ধতির সাহায্যে সুমেরীয়রা যে কোন মানবমস্তিষ্ক বা যে কোনো মানুষের ডিএনএর থেকে অনেক বেশি পরিমাণ তথ্য জমা করতে সক্ষম হয়েছিল।

১৯। উরুক শহরের প্রশাসনিক হিসাব সংবলিত মাটির পাত্র। ‘কুশিম’ কোনো একক ব্যক্তির নাম বা অফিসের কোন কর্মচারী বা কর্মকর্তার পদবীও হতে পারে। যদি ‘কুশিম’ নামটি কোন বিশেষ ব্যক্তির হয়, তবে ইতিহাসে তিনিই সম্ভবত প্রথম মানুষ ছিলেন যার সত্যিকার নাম আমরা জানি! এর আগের সময়কার ইতিহাসে আমরা যতকিছুর নাম শুনেছি, যেমন- নিয়ান্ডার্থাল, নাটুফিয়ানস, শভে গুহা, গোবেকলি তেপে- সবগুলোই আধুনিক মানুষের নতুন করে দেওয়া নাম। আমরা কোনোভাবেই জানি না যে, গোবেকলি তেপের নির্মাতারা ওই জায়গাটিকে ঠিক কী নামে ডাকতেন। লেখনীর আবিষ্কারের পর থেকে আমরা ইতিহাসের সত্যিকার নায়কদের কান হয়ে সে সময়কার গল্প শুনতে শুরু করলাম। কুশিমকে ডাকার সময় হয়তো প্রতিবেশীরা ঠিক ‘কুশিম!’ এই নামটিই চিৎকার করে উচ্চারণ করত! ‘কুশিম’ সম্পর্কে যে কথাটা না বললে গল্পটা অসম্পূর্ণই থেকে যাবে সেটা হল- ইতিহাসে প্রথম অমর হয়ে রইল ‘কুশিম’ নামে যে ব্যক্তিটির নাম অথবা ‘কুশিম’ পদবীধারী যে মানুষটি, তিনি কিন্তু কোনো কবি ছিলেন না, মহান নবী ছিলেন না, ছিলেন না কোনো দিগ্বিজয়ী বীর- ‘কুশিম’ ছিলেন একজন ‘হিসাবরক্ষক’!
লেখনী আবিষ্কারের আদিপর্বে তা শুধু সংখ্যা বিষয়ক তথ্য বা দৈনন্দিন জীবনের ঘটনা লিপিবদ্ধ করার কাজেই ব্যবহৃত হতো। মাটির ফলকে লেখা ‘মহান সুমেরীয় উপন্যাস’ বা এ জাতীয় কোন গ্রন্থের অস্তিত্ব থেকে থাকলেও তার কোনো নমুনা এ পর্যন্ত পাওয়া যায়নি। মাটির ফলকে লেখালেখির ব্যাপারটি ছিল সময়সাপেক্ষ এবং পাঠকও ছিল হাতে গোনা। সেই জন্য প্রয়োজনীয় তথ্যাদি লিপিবদ্ধ করার কাজেই মূলত লেখনীর ব্যবহার হতো। প্রায় ৫০০০ বছর আগে আমাদের পূর্বপুরুষরা আমাদের জন্য কোনো মহান বাণী লিপিবদ্ধ করে গেছেন কি না, তা খুঁজতে গেলে আমাদের একরকম হতাশই হতে হবে। কারণ, আমাদের উদ্দেশ্যে রেখে যাওয়া আমাদের পূর্বপুরুষদের প্রথম লিখিত বাক্যটি ছিল অনেকটা এরকম- ‘সাইত্রিশ মাসে উনত্রিশ হাজার ছিয়াশি একক বার্লি- কুশিম’। এ কথার সম্ভাব্য মানে হতে পারে এরকম- ‘সাইত্রিশ মাসে মোট উনত্রিশ হাজার ছিয়াশি বস্তা বার্লি রাজার সংগ্রহশালায় জমা হয়েছে। স্বাক্ষর – কুশিম’। হায়, ইতিহাসে পাওয়া মানুষের লিখনপদ্ধতির প্রথম নিদর্শন আমাদের দিল না কোনো প্রাচীন দার্শনিক প্রজ্ঞার খবর, কোনো মহৎ কাব্য কিংবা বীরগাথা, শেখাল না কোনো আইন-কানুন, এমনকি শোনাল না কোনো মহারাজার দিগ্বিজয়ের চমকপ্রদ কাহিনী! সেগুলোর পুরোটা জুড়ে থাকল কেবল গৎবাঁধা-একঘেয়ে ব্যবসায়িক নথি, কর আদায় সংক্রান্ত তথ্য, মোট ঋণের হিসাব এবং জমি-জমার মালিকানা বিষয়ক দলিল।
যদিও একথা ঠিক, খুঁজে পাওয়া অল্প কিছু মাটির ফলকে লিখিত তথ্য থেকে সেকালের মানুষের ভাষার আওতা সম্পর্কে ধারণা করা কঠিন। মুখে মুখে মানুষ কতরকম বিষয় নিয়ে আলাপ আলোচনা করতে পারত, সে ধারণা করাও সহজ নয়। কিন্তু, মাটির ফলক থেকে পাওয়া তথ্যানুযায়ী এটুকু অন্তত অনুমান করা যায়, কোন কোন জিনিস তখন মানুষের ভাষার আওতাধীন ছিল না। সুমেরীয়দের এই আংশিক বর্ণমালা বা গাণিতিক সংকেতগুলো দিয়ে কবিতা লেখা বা সাহিত্য রচনা করা মোটেই সম্ভব ছিল না। কিন্তু সেগুলো দিয়ে বেশ সফলতার সাথেই কর আদায় সংক্রান্ত হিসাব-নিকাশ লিপিবদ্ধ করে রাখা সম্ভব ছিল।
প্রাচীনকালের আরেক ধরনের লেখালেখির অস্তিত্ব আমরা জানতে পারি যার অবস্থা আরও হতাশাব্যঞ্জক। সেটা হল, কতগুলো শব্দের একটা পৌনঃপুনিক তালিকা, যেগুলো কোন শিক্ষানবিশ ছাত্র তার অনুশীলনের অংশ হিসেবে বার বার লিখেছে বলে মনে করা হয়। তখনকার দিনে যখন একজন ছাত্র হিসেব লেখার কাজে বিরক্ত হয়ে প্রেমের কবিতা লিখতেও চাইত, সেটা তার পক্ষে কোনোভাবেই সম্ভব ছিল না। সুমেরীয়দের প্রাচীন বর্ণমালাকে বলা যেতে পারে আংশিক লিপি, এটা পূর্ণাঙ্গ কোন লিপি ছিল না। পূর্ণাঙ্গ লিপি বলতে কী বুঝি? পূর্ণাঙ্গ লিপি হলো বস্তুগত চিহ্নের সমন্বয়ে গঠিত এমন একটি বর্ণমালা, যা দিয়ে মানুষের কথ্যভাষার প্রায় সবকিছুই এমনকি কবিতাও লিখে ফেলা যায়। অন্যদিকে, আংশিক লিপি হল এমন এক বর্ণমালা যা দিয়ে কেবল বিশেষ ধরনের কিছু তথ্যই লিপিবদ্ধ করা সম্ভব। ল্যাটিন লিপি, প্রাচীন মিশরীয় লিপি এবং একালের ব্রেইল লিপি হলো পূর্ণাঙ্গ লিপির উদাহরণ। এই সবগুলো লিপি দিয়েই আপনি কর আদায়ের হিসাব-নিকাশ যেমন লিখে রাখতে পারবেন, তেমনি লিখতে পারবেন প্রেমের কবিতা, ইতিহাসের বই, খাবারের রেসিপি বা ব্যবসায়ের নিয়ম-কানুন। অপরদিকে প্রাচীন সুমেরীয় লিপি, বর্তমানের গাণিতিক লিপি বা সংগীতের স্বরলিপি- এগুলো হল আংশিক লিপির উদাহরণ। গাণিতিক লিপি দিয়ে হিসাব-নিকাশের জন্য গণিতের নানা সমীকরণ লেখা সম্ভব, কিন্তু কবিতা লেখা সম্ভব নয়। অন্যান্য আংশিক লিপিগুলোর ক্ষেত্রেও একই ধরনের সীমাবদ্ধতা বিদ্যমান।

২০। একজন মানুষ হাতে একটি কিপু ধরে আছে। ইনকা সভ্যতার সমাপ্তির পর কিপুর কথা এভাবেই বর্ণিত হয়েছিল একটি স্প্যানিশ লিপিতে।
সুমেরীয়রা কিন্তু তাদের বর্ণমালা দিয়ে যে কবিতা লেখা যায় না এটা নিয়ে মোটেও চিন্তিত ছিল না। তারা মুখের সব কথা লিপিবদ্ধ করার জন্য তাদের ভাষা তৈরি করেনি, বরং মুখের ভাষা যেসব জিনিস সহজে প্রকাশ করতে পারে না সেইসব সংখ্যা বা হিসাব-নিকাশ সংক্রান্ত তথ্য লিপিবদ্ধ করার জন্যই তাদের ভাষা তৈরি করেছিল। এরকম কিছু সভ্যতার সন্ধান পাওয়া যায় যারা ইতিহাসের পুরোটা সময়জুড়ে আংশিক লিপি ব্যবহার করেই কাজ চালিয়েছে এবং কখনো পূর্ণাঙ্গ লিপি তৈরীর চেষ্টাও করেনি। উদাহরণস্বরূপ, প্রাক-কলম্বিয়ান যুগে আন্দেজ পর্বত অঞ্চলে গড়ে ওঠা এক ধরনের লিপির কথা আমরা বিবেচনা করতে পারি। এই লিপি সুমেরীয়দের লিপি থেকে অনেকটাই আলাদা ছিল। এটা অন্যান্য প্রচলিত লিপিগুলো থেকেও এতটাই আলাদা যে, অনেকে এটাকে আদৌ কোন লিপি বলা যায় কিনা সেটা নিয়েও সন্দেহ প্রকাশ করেছেন। এই লিপি কোন মাটির ফলকে বা কাগজে লিপিবদ্ধ করা হতো না। বরং, নানা রঙের দড়িতে বিভিন্ন ধরনের গিঁট বেঁধে এই লিপি তৈরী করা হত। এই নানা রঙের দড়িগুলোকে একসাথে বলা হত ‘কিপু’ (Quipu)। প্রতিটা দড়ির বিভিন্ন অবস্থানে নানারকম গিঁট বাধা থাকত। এক একটা কিপুতে শত শত দড়ি এবং হাজার হাজার গিঁট থাকতে পারত। এই গিঁটগুলোর সংখ্যা, গিঁটের ধরন এবং দড়িতে গিঁটের অবস্থানের উপর ভিত্তি করে সেগুলো নানা সংখ্যা প্রকাশ করত। এইভাবে নানা রঙের দড়ি এবং দড়িতে নানা ধরনের গিঁট দেয়ার মাধ্যমে তারা কর আদায় বা সম্পত্তির হিসাব সংক্রান্ত বিপুল পরিমাণ গাণিতিক তথ্য জমা রাখতে পারত।২
শত শত বছর, সম্ভবত হাজার হাজার বছর ধরে এই কিপু ছিলো অনেক নগর, রাজ্য এবং সাম্রাজ্যের ব্যবসা-বাণিজ্যের একটি অপরিহার্য অংশ।৩ কিপু’র সবচেয়ে সফল ব্যবহার হয়েছিল বিখ্যাত ‘ইনকা’ সভ্যতার আমলে। ‘ইনকা’ শব্দের অর্থ হল ‘সূর্যের সন্তান’। এক কোটি বা তার চেয়ে কিছু বেশি মানুষ নিয়ে গড়ে উঠেছিল এই ইনকাদের রাজ্য এবং এর ভৌগোলিক বিস্তৃতি ছিল আজকের পেরু, ইকুয়েডর, বলিভিয়া, আর্জেন্টিনা, কলম্বিয়া আর চিলির কিছু অংশ জুড়ে । কিপুর কারণেই তারা বিশাল পরিমাণ তথ্য জমা রাখা এবং তা দিয়ে নানারকম হিসাব নিকাশ করতে সক্ষম হয়েছিল, একটি বড় আকারের রাজ্য চালানোর জন্য যা ছিল অপরিহার্য।
এমনকি কিপু দিয়ে করা হিসাব-নিকাশ এতটাই কার্যকর এবং নির্ভুল ছিল যে, দক্ষিণ আমেরিকা জয়ের পরে স্প্যানিয়ার্ডরা প্রথম দিকে তাদের রাজ্য পরিচালনার জন্য কিপু ব্যবহার করা শুরু করেছিল। কিন্তু, এর ফলে দু’টো সমস্যা দেখা দিল। প্রথমত, স্প্যানিয়ার্ডরা নিজেরা কিপু তৈরি করতে এবং সেটা পড়তে জানত না। কিপু তৈরির জন্য তাদেরকে স্থানীয় বিশেষজ্ঞদের উপরই নির্ভর করতে হত। দ্বিতীয়ত, স্প্যানিয়ার্ডরা এটা বুঝতে পেরেছিল যে, স্থানীয় কিপু বিশেষজ্ঞরা তাদের নিজেদের সুবিধার জন্য ইচ্ছাকৃতভাবে কিপুতে ভুল তথ্য রাখতে পারে এবং তাদের স্প্যানিয়ার্ড প্রভুদেরকে বিভ্রান্ত করতে পারে। এসব কারণে, দক্ষিণ আমেরিকায় যখন পাকাপাকিভাবে স্পেনের আধিপত্য স্থাপিত হল, তখন কিপু বাতিল করে তারা তাদের সকল হিসাব-নিকাশ ল্যাটিন লিপি ও সংখ্যার মাধ্যমে রাখতে শুরু করল। সহজভাবে বলতে গেলে স্পেনের রাজত্ব কায়েম হবার পরে কিপু একরকম বিলুপ্তই হয়ে যায়। যেহেতু, কিপু পড়ার মত বিশেষজ্ঞ লোকজনও আর অবশিষ্ট ছিল না, সে কারণে যে দুই একটা কিপু টিকে থাকল, সেগুলোর পাঠোদ্ধার করাও মোটামুটি অসম্ভব হয়ে পড়ল।
আমলাতন্ত্রের বিস্ময়
এ পর্যন্ত মানুষের লেখালেখির যেসব নিদর্শন আমরা দেখলাম সেগুলো মূলত লেন-দেন, আয়-ব্যয়ের হিসাব রাখার কাজেই ব্যবহৃত হয়েছে। কালক্রমে মেসোপটেমিয়ার অধিবাসীরা কাঠখোট্টা আয়-ব্যয়ের হিসাব রাখার পাশাপাশি অন্যান্য জিনিসও লিপিবদ্ধ করতে শুরু করে। খ্রিস্টপূর্ব ৩০০০ অব্দ থেকে খ্রিস্টপূর্ব ২৫০০ অব্দ পর্যন্ত সুমেরীয় লিপিতে একের পর এক বর্ণ ও চিহ্ন যুক্ত হতে থাকে। এর ফলে সুমেরীয়দের লিপি একসময় পূর্ণাঙ্গ লিপি হয়ে ওঠে, যে লিপির আধুনিক নাম ‘কিউনিফর্ম’ (Cuneiform)। খ্রিস্টপূর্ব ২৫০০ অব্দের মাঝেই কিউনিফর্ম লিপি ব্যবহার করে রাজারা সমন জারি করতে শুরু করেন, ধর্মযাজকেরা ঈশ্বরের বিধান লিপিবদ্ধ করার দায়িত্ব নেন আর সাধারণ মানুষজন লিখতে শুরু করেন ব্যক্তিগত চিঠিপত্র। মোটামুটি একই সময়ে মিশরের অধিবাসীরা ‘হায়ারোগ্লিফিকস’ (Hieroglyphics) নামে আরেকটি পূর্ণাঙ্গ লিপি তৈরী করে। খ্রিস্টপূর্ব ১২০০ অব্দের দিকে চীনে এবং খ্রিস্টপূর্ব ১০০০ থেকে খ্রিস্টপূর্ব ৫০০ অব্দের দিকে মধ্য আমেরিকায় আরও কিছু পূর্ণাঙ্গ লিপির উৎপত্তি হয়।
এসব এলাকা থেকে কালক্রমে এই পূর্ণাঙ্গ লিপিগুলো দূর দূরান্তে ছড়িয়ে পড়ে। বিভিন্ন এলাকায় লিপিগুলো নানাভাবে পরিবর্তিত হয়, নতুন আকার ধারণ করে এবং বিস্তৃত হয় এদের কার্যপরিধি। মানুষ কবিতা লিখতে শুরু করে, লেখা শুরু হয় ইতিহাস, প্রেমের আখ্যান, নাটক, ভবিষ্যৎবাণী এবং রান্নার বই। এতকিছুর পরও লিখিত ভাষার প্রধান কাজ একগাদা গাণিতিক তথ্য জমা রাখা এবং সেগুলো দিয়ে হিসাব-নিকাশ করার মধ্যেই সীমাবদ্ধ থাকে। আংশিক লিপিগুলোই আগের মত এই কাজের দায়িত্ব পালন করতে থাকে। হিব্রুদের বাইবেল, গ্রীকদের ইলিয়ড, হিন্দুদের মহাভারত কিংবা বৌদ্ধদের ত্রিপিটক প্রাথমিকভাবে মৌখিক ভাষার মাধ্যমে সৃষ্টি হয়েছিল। লিখিত ভাষা আবিষ্কার না হওয়ায় সম্ভবত মানুষের মুখে মুখেই এই গ্রন্থগুলো টিকে থাকত। এদিকে খাজনার হিসাব আর আমলাতান্ত্রিক সমাজের জন্মই হয়েছে আংশিক লিপিগুলোর জন্মের সাথে সাথে। এরা অনেকটা মায়ের পেটে থাকতেই জোড়া লেগে যাওয়া যমজ দুই ভাইয়ের মত। একটিকে আরেকটির থেকে আলাদা করে ভাবা অসম্ভব। দুর্বোধ্য কিছু সংকেতমালা দিয়ে তৈরি আজকের দিনের কম্পিউটারাইজড ডেটাবেস বা দস্তাবেজগুলো দেখলেও একথা সহজেই বোঝা যায়। কম্পিউটারের ভাষা পূর্ণাঙ্গ ভাষা নয় এবং মানুষের পক্ষে তা পাঠ করা মুশকিল। কম্পিউটারে তথ্য জমা রাখতে না পারলে এত বিশাল সংখ্যক মানুষের এত বিষয়ের তথ্য জমা রাখা মানুষের জন্য অসম্ভব হত। সেই হিসাবে বলাই যায় যে, এত মানুষের হিসাব-নিকাশ রাখার জন্যই কম্পিউটারের আংশিক লিপির উদ্ভব হয়েছে। আবার একথাও সত্যি যে, এই আংশিক লিপি আবিষ্কারের ফলেই মানুষ এত তথ্য রাখতে পারছে আর তথ্যের মালিক তৈরি করতে পারছে একটি আমলাতান্ত্রিক সমাজ।
লিখিত দলিল-দস্তাবেজের পরিমাণ যখন বাড়তে থাকল, বিশেষ করে আইন-কানুন-প্রশাসন সংক্রান্ত দলিলপত্র যখন অনেক বেশি হয়ে গেল, তখন নতুন একটি সমস্যা দেখা দিল। এত দলিল-দস্তাবেজ থেকে কোন একটি বিশেষ তথ্য খুঁজে বের করার ব্যাপারটি এ পর্যায়ে বেশ কঠিন হয়ে পড়ল। মানুষের স্মৃতিতে থাকা কোনো তথ্য খুঁজে বের করা অনেক সহজ। আমার মস্তিষ্কে লাখ লাখ, কোটি কোটি নানা রকমের তথ্য আছে, তারপরও আমি বলতে গেলে এক মুহূর্তের মাঝেই মনে করতে পারি ইতালির রাজধানীর নাম কী, তারপরই আমার মাথায় ভাসতে থাকে ২০০১ সালের ১১ সেপ্টেম্বর আমি কী করেছিলাম তার স্মৃতি এবং তারপরই আমি মনে করতে থাকি আমার বাসা থেকে বিশ্ববিদ্যালয়ে যাবার রাস্তার কথা। এতগুলো ভিন্ন ধরনের তথ্য আমি মনে করতে পারি মুহূর্তের মধ্যেই। কীভাবে মস্তিষ্ক তথ্য খোঁজার এই কাজটি এত নিখুঁতভাবে, এত কম সময়ে করে সেটা আজও এক রহস্য। কিন্তু আমরা এটা বুঝি যে, মস্তিষ্কের তথ্য খোঁজার ক্ষমতা বিস্ময়কর। ব্যতিক্রম একটাই, প্রতিদিন অফিস যাবার আগে যখন আপনি চশমা, মানিব্যাগ বা বাসার চাবি খোঁজার চেষ্টা করেন তখনই সে রীতিমত নাকাল হয়ে যায়! কিছুতেই মনে করতে পারে না কিছুক্ষণ আগের সামান্য এই তথ্যটুকু!
আমরা জানলাম, মস্তিষ্কের তথ্য খোঁজার ক্ষমতা অসাধারণ এবং মস্তিষ্ক এ কাজটি অনেক দ্রুততার সাথে করে। এবারে দড়িতে গিঁট দিয়ে বানানো কিপু থেকে বা মাটির ফলকে খোদাই করা লিপির ব্যাপারে ফিরে আসি। এসব থেকে কীভাবে আপনি কোন তথ্য খুঁজবেন এবং তার পাঠোদ্ধার করবেন? হ্যাঁ, কিপু বা ফলকের সংখ্যা যদি অল্প হয়, তাহলে হয়ত খুঁজে বের করাটা তেমন কোন কঠিন কাজ হবে না। কিন্তু রাজা হামুরাবির সমসাময়িক মারির রাজা জিমরিলিমের (King Zimrilim of Mari) কথা ভাবুন। রাজকার্য পরিচালনার জন্য তাদেরকে এরকম হাজার হাজার ফলক বা লিপি তৈরী করতে হয়েছিল। সুতরাং সেখান থেকে কোন তথ্য খুঁজে বের করা যে ভয়াবহ কষ্টসাধ্য একটি কাজ ছিল সে কথা বলাই বাহুল্য।
ধরা যাক, এটা খ্রিস্টপূর্ব ১৭৭৬ অব্দের কোন দুপুর। মারি রাজ্যের দুই প্রজার মধ্যে একটি গমক্ষেতের মালিকানা নিয়ে দ্বন্দ্ব বেধেছে। আলালের দাবি, সে এই জমি ত্রিশ বছর আগে দুলালের থেকে কিনেছে। দুলাল বলছে, জমি সে মোটেই বিক্রি করেনি, টাকার প্রয়োজনে ত্রিশ বছরের জন্য আলালকে ভাড়া দিয়েছিল। এখন ভাড়ার সময়সীমা শেষ, তাই সে জমি আলালের কাছ থেকে ফেরত নিতে চায়। এ নিয়ে অনেকক্ষণ চিৎকার চেঁচামেচি হল, আশেপাশে মজা দেখার জন্য লোকজন জমে গেল, দুইজনের প্রায় হাতাহাতি হবার উপক্রম। একসময় দুইজনেরই খেয়াল হল, তারা শাহী দপ্তরখানায় গিয়ে সহজেই এ বিবাদের মীমাংসা করতে পারে। কারণ, সেখানেই রাজ্যের জমি সংক্রান্ত কেনা-বেচার সমস্ত দলিল সংরক্ষণ করা আছে। যেই ভাবা সেই কাজ। তারা দুইজন শাহী দপ্তরখানায় গিয়ে হাজির হল। এলাহি কারবার। দেখে দুজনেরই মাথা ঘুরে যাবার উপক্রম। কার কাছে গেলে তাদের দলিল পাওয়া যাবে এটা জানতে জানতেই তাদের অনেকটা সময় চলে গেল, ঘুরতে হল এক টেবিল থেকে আরেক টেবিল। যখন তারা সঠিক লোকের কাছে পৌঁছাল, ততক্ষণে সন্ধ্যা হয়ে গেছে। রাজার হিসাবরক্ষক ভদ্রভাবে জানালেন, কাল আসুন। কী আর করা! তারা পরের দিন সকাল সকাল হিসাবরক্ষকের কাছে গিয়ে পৌছাল। হিসাবরক্ষক একজন সহকারীকে দলিল খুঁজে বের করার দায়িত্ব দিলেন। সহকারী তাদের দু’জনকে বিশাল আকারের দস্তাবেজকক্ষে নিয়ে গেল। এই কক্ষের একদম মেঝে থেকে উঁচু ছাদ পর্যন্ত মাটির ফলকে ঠাসাঠাসি। তরুণ সহকারীর মুখ শুকিয়ে কাঠ! এই ফলকের স্তুপ থেকে কীভাবে ত্রিশ বছর আগের একটি দলিল খুঁজে বের করবে সে? যদিও বা একটা দলিল পায় আলাল এবং দুলালের নামে, কী করে বুঝবে এটাই আলাল এবং দুলালের জমি সংক্রান্ত সর্বশেষ দলিল? এর পরে তারা জমি সংক্রান্ত কোনো দলিল পরিবর্তন বা বাতিল করেনি তার কী নিশ্চয়তা? আর আলাল-দুলালের কোনো দলিল যদি আদৌ পাওয়া না যায়, তাহলে কি এটা বোঝা যাবে যে, আলাল আর ইসার মাঝে জমি সংক্রান্ত কোন দলিলই হয়নি? দলিলের লিপির ফলকটা তো ভেঙে গিয়েও থাকতে পারে। অথবা, গত বর্ষায় দস্তাবেজক্ষের এক কোনায় যে কয়টা মাটির ফলক একদম মাটির সাথে মিশে গেছে ওদের দলিলটাও যে তার মাঝে নেই সেটাই বা কী করে বোঝা যাবে?
সুতরাং, এটা একদম স্পষ্ট যে, কোনো তথ্য মাটির ফলকে লিখে রাখতে পারলেই যে সেটা প্রয়োজনের সময় সহজে, নির্ভুলভাবে এবং দ্রুততার সাথে খুঁজে পাওয়া যাবে এমনটা নয়। সেটা করার জন্য লিখে রাখা তথ্যগুলোকে সঠিকভাবে বিন্যস্ত করে একটা সূচিপত্র তৈরি করা দরকার, ফটোকপি মেশিনের মতো সহজেই তথ্যের অনুলিপি তৈরি করার জন্য একটা ব্যবস্থা থাকা দরকার। সর্বোপরি দ্রুততার সাথে তথ্য খুঁজে বের করার জন্য কম্পিউটার অ্যালগরিদমের মত কোনো উন্নত কৌশল থাকা দরকার। পাশাপাশি ঝানু (সাথে একটু হাসিখুশি হলে ভালো হয়) লাইব্রেরিয়ানের মত কিছু মানুষ থাকা দরকার যারা এসব কৌশল এবং যন্ত্রপাতি সঠিকভাবে প্রয়োগ ও ব্যবহার করতে পারে।
এইসব করার চেষ্টা করতে গিয়ে মানুষ বুঝতে পারল, লিখনপদ্ধতি আবিষ্কারের থেকে তথ্য সাজানো, অনুলিপি তৈরি এবং তথ্য খোঁজার কাজগুলো বেশি কঠিন। মানুষের ইতিহাসের বিভিন্ন সময়ে পৃথিবীর বিভিন্ন জায়গায় স্বাধীনভাবে নানারকম লিখন পদ্ধতি বিকাশ লাভ করেছে। প্রত্নতাত্ত্বিকেরা এখনও গড়ে প্রতি দশ বছরে কয়েকটি করে হারিয়ে যাওয়া লিখন পদ্ধতি আবিষ্কার করেন। এর মাঝে কয়েকটি সুমেরীয়দের কাদামাটির ফলকে লেখা লিপির চেয়েও পুরাতন হতে পারে। কিন্তু এসব লিপির অধিকাংশই আজ কেবল মানুষের কৌতূহলের উপাদান হয়ে টিকে আছে। এর কারণ হল, অধিকাংশ লেখ্য ভাষার ক্ষেত্রেই মানুষ সে ভাষায় লেখা তথ্যগুলোকে তালিকাবদ্ধ করা, অনুলিপি তৈরি করা এবং দ্রুত খুঁজে বের করার কৌশল আবিষ্কার করতে ব্যর্থ হয়েছে। অপরদিকে, সুমেরীয়, মিশরীয় এবং ইনকা সভ্যতার মানুষজন এই কাজগুলো সফলতার সাথে করতে সক্ষম হয়েছিল। এমনকি তারা নকলনবিশ, কেরানি, গ্রন্থাগারিক এবং হিসাবরক্ষক তৈরি করার স্কুলের জন্য রাজ্যের কোষাগার থেকে অর্থও বরাদ্দ করত।
এরকম একটি স্কুলের একজন ছাত্রের লেখালেখি চর্চার সময়কার একটা লিপি আধুনিক প্রত্নতাত্ত্বিকেরা উদ্ধার করতে সক্ষম হয়েছেন। এই লিপিটি প্রাচীন মেসোপটেমিয়া থেকে আবিষ্কৃত হয়েছে এবং ধারণা করা হয় এটি প্রায় চার হাজার বছর পুরনো। লিপিটি অনেকটা এরকম-
আমি ঘরের ভেতর ঢুকলাম এবং বসে পড়লাম, এবং আমার শিক্ষক আমার ফলকে খোদাই করা লেখাটি পড়লেন। তিনি বললেন- ‘না, কিছু একটা গড়বড় আছে।’
এবং তিনি তার ছড়ি দিয়ে আমাকে শাস্তি দিলেন।
দায়িত্বরত একজন কর্মী আমাকে বললেন, ‘তুমি আমার অনুমতি ছাড়া কেন মুখ খুলেছ?’
এবং তিনি তার ছড়ি দিয়ে আমাকে শাস্তি দিলেন।
আইন-শৃঙ্খলার দায়িত্বে থাকা একজন বললেন, ‘আমার অনুমতি ছাড়া তুমি কেন উঠেছ?’
এবং তিনি তার ছড়ি দিয়ে আমাকে শাস্তি দিলেন।
দারোয়ান বলল, ‘তুমি কেন আমার অনুমতি ছাড়া বাইরে বের হচ্ছ?’
এবং সে তার ছড়ি দিয়ে আমাকে মারল।
বিয়ারের জগের দায়িত্বে থাকা লোকটি বলল, ‘কেন তুমি আমার অনুমতি ছাড়া বিয়ার নিলে?’
এবং সে তার ছড়ি দিয়ে আমাকে মারল।
সুমেরীয় শিক্ষক বললেন, ‘কেন তুমি আক্কাদিয়ান ভাষায় কথা বললে?’*
এবং তিনি তার ছড়ি দিয়ে আমাকে শাস্তি দিলেন।
আমার শিক্ষক বললেন, ‘তোমার হাতের লেখা সুন্দর নয়!’
এবং তিনি তার ছড়ি দিয়ে আমাকে শাস্তি দিলেন।৪
প্রাচীনকালের নকলনবিশরা শুধু যে পড়তে এবং লিখতে শিখত তা নয়, বরং তাদেরকে তালিকা, অভিধান, দিনপঞ্জি, ফর্ম, টেবিল এসবের ব্যবহারও শেখানো হত। তালিকা বা সূচী তৈরী করা, তথ্য দ্রুত খুঁজে বের করা এবং সেসব নিয়ে কাজ করার কৌশলগুলো তারা শিখত এবং আত্মস্থ করত। এই কৌশলগুলো মস্তিষ্কের স্বাভাবিক তথ্য জমা রাখা এবং খুঁজে বের করার পদ্ধতির থেকে একেবারেই আলাদা। মস্তিষ্কে নানারকম তথ্য স্বাধীনভাবে জমা থাকে, তালিকার মত বিষয় অনুযায়ী বা সময় অনুযায়ী সাজানো থাকে না। যখন আমি আমার সঙ্গীকে নিয়ে কিস্তিতে নতুন বাড়ি কেনার জন্য চুক্তিপত্রে স্বাক্ষর করতে ব্যাংকে যাই, হুট করে আমার মনে পড়ে যায় আমাদের সেই ছোট্ট বাড়িটার কথা যেখানে আমরা প্রথম একসাথে বসবাস শুরু করেছিলাম। সংসারের কথা ভাবতে গিয়েই আমার মনে পড়ে নিউ অরলিয়নসে কাটানো আমাদের মধুচন্দ্রিমার সুন্দর মুহূর্তগুলো, অরলিয়নসের কথা ভাবতেই মনে পড়ে মধুচন্দ্রিমায় ওখানকার সিটি পার্কে গিয়ে দেখা কুমিরের কথা, কুমিরের বড় বড় মুখ আর দাঁত আমাকে মনে করিয়ে দেয় আগুনের হলকা বের করা ভয়ংকর ড্রাগনের কথা, ড্রাগন আমাকে মনে করিয়ে দেয় ড্রাগনের জন্য করা ওয়াগনারের লেটমোটিফ (সঙ্গীতের একটি অংশ, যা কোন কাহিনী, গল্পের চরিত্র, স্থান বা বিষয়ের সাথে সম্পর্কযুক্ত। চরিত্রটি গল্পে যখন যখন উপস্থিত হয়, তার লেটমোটিফ বাজতে থাকে। হলিউডের বিখ্যাত চলচ্চিত্র সিরিজ ‘Star Wars’ এ লেটমোটিফের অনেক ব্যবহার দেখা যায়), এই লেটমোটিফ আমাকে মনে করিয়ে দেয় তার সৃষ্টি করা বিখ্যাত গীতিনাট্য ‘The Ring of the Nibelungen’ এর কথা যার সঙ্গীতের স্বরলিপি তৈরী করতে ওয়াগনারের প্রায় ছাব্বিশ বছর সময় লেগেছিল! এতসব সাত পাঁচ ভাবতে ভাবতেই হুট করে খেয়াল হয় আমি ব্যাংকে বসে শিষ দিয়ে ওয়াগনারের সেই বিখ্যাত গীতিনাট্যের সিগফ্রিড চরিত্রটির জন্য করা লেটমোটিফ বাজানোর চেষ্টা করছি এবং ব্যাংকের কেরানি হতভম্ব হয়ে আমার দিকে তাকিয়ে আছেন! রাষ্ট্র পরিচালনার জন্য প্রয়োজনীয় তথ্যগুলো এভাবে একসাথে রাখলে চলে না, রাখতে হয় আলাদা আলাদা ভাবে। বাড়ি বন্ধকীর কাগজপত্র থাকবে একটা ড্রয়ারে, আরেকটা ড্রয়ারে থাকবে বিয়ের সনদপত্র, আলাদা ড্রয়ারে রাখা হবে খাজনা সংক্রান্ত কাগজপত্র, ভিন্ন আরেকটি ড্রয়ারে রাখা হবে মামলা-মোকদ্দমা সংক্রান্ত তথ্য। এভাবে বিষয় অনুযায়ী আলাদা আলাদা করে না রাখলে পরে আমাদের পক্ষে তথ্য খুঁজে পাওয়া বেশ কঠিন হয়ে যাবে। কিন্তু যখন কোনো তথ্য একসাথে একাধিক বিষয়ের সাথে সম্পর্কিত হয়, তখন সেটা কোন ড্রয়ারে রাখা হবে সেটা নিয়ে একটা সমস্যা দেখা দেয়। ওয়াগনারের গীতিনাট্যের কথাই ধরা যাক। আমি কি এটাকে সঙ্গীতের ড্রয়ারে রাখব, নাকি নাটকের ড্রয়ারে রাখব, নাকি ওয়াগনারের গীতিনাট্যের জন্য নতুন একটা ড্রয়ারই তৈরি করব? মানুষকে তার মস্তিষ্কে এভাবে তথ্য জমা করতে হলে তা তার মাথাব্যথার একটা কারণে পরিণত হত। কারণ, সেক্ষেত্রে জীবনভর তাকে তার মাথায় নতুন ড্রয়ার বানাতে হবে, আগের অনেক ড্রয়ার সরিয়ে ফেলতে হবে বা ঢেলে নতুন করে সাজাতে হবে। মস্তিষ্কের জন্য এটা কঠিন কাজ, কিন্তু রাষ্ট্র পরিচালনার জন্য দরকারী তথ্য সাজিয়ে রাখার জন্য এর থেকে কার্যকরী কোনো পদ্ধতিও মানুষের জানা নেই।
রাষ্ট্র পরিচালনার জন্য বিষয় অনুযায়ী আলাদা আলাদা ড্রয়ারে তথ্য রাখার কৌশলটি তখনই সফলভাবে করা সম্ভব হবে যখন কিছু লোক তাদের মস্তিষ্কের চিন্তা করার ধরন পাল্টে ফেলবে, তারা সাধারণ মানুষের মত চিন্তা করার বদলে কেরানি বা হিসাবরক্ষকের মত করে চিন্তা করতে শুরু করবে। একথা আমরা সবাই কম-বেশি জানি যে কেরানি বা হিসাবরক্ষকেরা ঠিক সাধারণ মানুষের মত করে চিন্তা করে না। তাদের চিন্তার ধরন অনেকটা বিষয় অনুযায়ী ড্রয়ার নির্বাচন করে ড্রয়ার ভরার মত। অবশ্য এভাবে চিন্তা করার জন্য তাদের দোষী করাটা উচিত হবে না। কারণ, এভাবে চিন্তা করতে না পারলে তারা রাষ্ট্রের জন্য গুরুত্বপূর্ণ সব তথ্য পদ্ধতি অনুযায়ী গুছিয়ে রাখতে পারত না, রাখত এলোমেলো ভাবে। ফলশ্রুতিতে তারা রাষ্ট্র, কোম্পানি বা অন্য কোন সংস্থাকে তাদের পদ অনুযায়ী যথাযথ সেবা দিতে ব্যর্থ হতো। মানুষের ইতিহাসে লিখনপদ্ধতি আবিষ্কারের সবচেয়ে বড় প্রভাব সম্ভবত এটাই যে, এটি ধীরে ধীরে আমাদের চিন্তা করার এবং দুনিয়াকে দেখবার পদ্ধতিই পাল্টে দিয়েছে। মুক্ত চিন্তার ভিত্তিতে, সামগ্রিক অবস্থার প্রেক্ষিতে কোনো ঘটনাকে বিচার করার বদলে আমরা অভ্যস্ত হচ্ছি ঘটনাটিকে তার সামগ্রিকতা থেকে বিচ্ছিন্ন করে পৃথক একটি ঘটনা হিসেবে বিচার করতে এবং এর ফলে উৎপত্তি ঘটছে আমলাতন্ত্রের।
সংখ্যার ভাষা
সময়ের অগ্রগতির সাথে সাথে মানুষের লিখিত তথ্য প্রক্রিয়াকরণের এইসব আমলাতান্ত্রিক পদ্ধতির সাথে মানুষের মস্তিষ্কের তথ্য প্রক্রিয়াকরণের স্বাভাবিক পদ্ধতির তফাৎ বাড়তে লাগল এবং দিনকে দিন সমাজ ও রাষ্ট্র পরিচালনার জন্য এসব পদ্ধতি অধিকতর গুরুত্বপূর্ণ হয়ে উঠল। সবচেয়ে বড় পরিবর্তনটা আসল খ্রিস্টপূর্ব নবম শতকের দিকে। এসময় মানুষ একপ্রকার আংশিক লিপি আবিষ্কার করল যা সংখ্যাভিত্তিক যে কোন তথ্যকে অত্যন্ত নিখুঁতভাবে জমা রাখতে ও প্রক্রিয়াকরণ করতে সক্ষম। এই আংশিক লিপিটি দশটি চিহ্নর সমন্বয়ে গঠিত ছিল। চিহ্নগুলো ছিল 0 থেকে 9। মজার ব্যাপার হল, হিন্দুরা প্রথমে এই লিপি উদ্ভাবন করলেও, বর্তমানে এটি আরবীয় লিপি নামেই অধিক পরিচিত (আরও অদ্ভুত ব্যাপার হল, পশ্চিমা দেশগুলোতে ব্যবহৃত চিহ্নগুলো একালের আরবরা সংখ্যা প্রকাশের জন্য যেসব চিহ্ন ব্যবহার করে তার থেকে আলাদা হলেও সেগুলোও আরবীয় লিপি নামেই পরিচিত)। আরবরা এই লিপি উদ্ভাবন না করলেও এই লিপির প্রসার ও উন্নতির ক্ষেত্রে তাদের অবদান ছোট করে দেখার কোনো উপায় নেই। আরবরা ভারতীয় উপমহাদেশ অধিকার করার সময় এই লিপির সন্ধান পায় এবং এর গুরুত্ব অনুধাবন করে নিজেরা এর ব্যবহার শুরু করে। পরবর্তীতে তারা এই লিপির উন্নতিসাধন করে এবং তাদের কল্যাণেই এই লিপি মধ্য এশিয়া ও ইউরোপে ছড়িয়ে পড়ে। এরপর তারা এই আংশিক লিপিতে আরও কিছু চিহ্ন (যেমন, ‘+’, ‘-’, ‘x’) যোগ করলে তা আধুনিক গাণিতিক ভাষার ভিত্তি স্থাপন করে।
যদিও সংখ্যা নিয়ে কাজ করার জন্য উদ্ভাবিত এই লিপিটি একটি আংশিক লিপি, এটিই বর্তমানে পৃথিবীর সব থেকে বেশি ব্যবহৃত ভাষা। যে কোনো রাষ্ট্র, কোম্পানি, সংগঠন এবং প্রতিষ্ঠান, সে তারা আরবি, হিন্দি, ইংরেজী, নরওয়েজিয়ান যে ভাষাতেই কথা বলুক না কেন, তাদের প্রায় সবাই গুরুত্বপূর্ণ তথ্য জমা রাখা ও প্রক্রিয়াকরণের জন্য এই গাণিতিক লিপিই ব্যবহার করে। এর কারণ হল, কোনো তথ্যকে গাণিতিক লিপিতে রূপান্তর করা সম্ভব হলে তা সহজেই জমা রাখা যায়, দ্রুত ছড়িয়ে দেয়া যায় এবং অবিশ্বাস্য দ্রুতগতিতে এবং নির্ভুলভাবে সেসব তথ্য প্রক্রিয়াকরণ করা যায়।
বর্তমানকালে একজন ব্যক্তি যদি সরকার, কোনো প্রতিষ্ঠান বা কোনো কোম্পানির সিদ্ধান্তকে প্রভাবিত করতে চায়, তাহলে তাকে প্রথমে এই গাণিতিক লিপি আয়ত্ত করতে হবে। বিশেষজ্ঞরা ‘দারিদ্র্য’, ‘সুখ’ এবং ‘সততা’র মত বিমূর্ত ধারণাগুলোকেও সংখ্যায় রূপান্তরিত করার জন্য যথাসাধ্য চেষ্টা করছেন। ‘দারিদ্র্যসীমা’, ‘মানুষের সুখী হবার পরিমাণ’, ‘বাসযোগ্য নগরীর হিসেবে অবস্থান’ এই পরিমাণসূচক ধারণাগুলোর সৃষ্টি তাই প্রমাণ করে। একইভাবে, জ্ঞানের অন্য অনেক শাখা, যেমন পদার্থবিজ্ঞান বা প্রকৌশলবিদ্যার চর্চা মোটামুটিভাবে মানুষের মুখের ভাষার সাথে সম্পর্ক একরকম হারিয়েই ফেলেছে। বর্তমানে এসব ব্যাপারে গবেষণা মূলত সংখ্যা, চিহ্ন কিংবা সমীকরণের মত গাণিতিক লিপির সাহায্যেই চালিত হচ্ছে ।

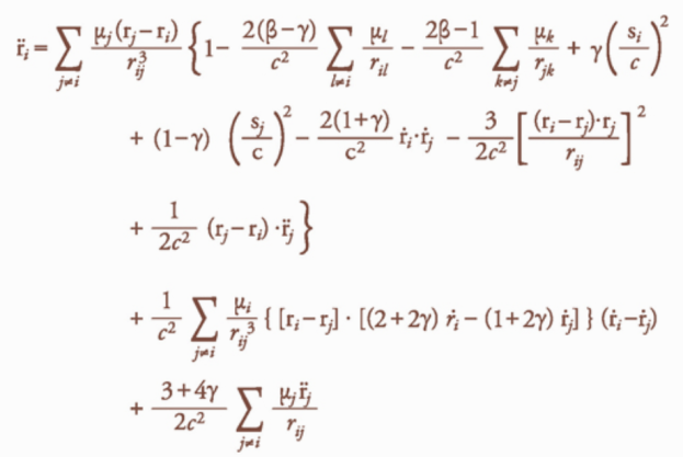
আপেক্ষিক তত্ত্ব অনুযায়ী অভিকর্ষের প্রভাবে ভর ‘i’ এর ত্বরণ হিসাব করার জন্য একটি সমীকরণ। যখন বেশিরভাগ সাধারণ মানুষ এ ধরনের হিজিবিজি কোন সমীকরণ দেখে, ভয়ে তাদের চোখ-মুখ শুকিয়ে আসে। রাতের রাস্তা দিয়ে হরিণের চোখে হঠাৎ করে চলন্ত জিপের হেডলাইটের আলো পড়লে ভয়ে তার অবস্থা যেরকম হয়, অনেকটা সেরকম। এইরকম হওয়াই কিন্তু স্বাভাবিক। এবং এরকম হওয়ার মানে এই নয় যে, যে মানুষটি সমীকরণটি বুঝতে পারছে না তার বুদ্ধিমত্তা কম বা সে বোকা। কিছু ব্যতিক্রমী মানুষের কথা বাদ দিলে, মানুষের মস্তিষ্ক ‘আপেক্ষিকতা’ বা ‘কোয়ান্টাম মেকানিক্স’ এর মত পদার্থবিজ্ঞানের কঠিন কঠিন বিষয় নিয়ে চিন্তা করতে একেবারেই অপারগ। পদার্থবিজ্ঞানীরা এসব নিয়ে চিন্তা করতে পারেন, কারণ তারা মানুষের মত চিন্তা করা ভুলে গিয়ে কিছু তথ্য প্রক্রিয়াকরণ যন্ত্রপাতির (যেমন কম্পিউটার) সাহায্যে নতুনভাবে চিন্তা করতে শিখেছেন। মজার ব্যাপার হল, তাদের চিন্তাভাবনার গুরুত্বপূর্ণ অংশটুকু ঘটে তাদের মস্তিষ্কের বাইরে- কম্পিউটারের মনিটরের পর্দায় অথবা শ্রেণীকক্ষের ব্ল্যাকবোর্ডে।
সাম্প্রতিককালে, গাণিতিক লিপি মাত্র দুইটি চিহ্নের সমন্বয়ে আরেকটি বৈপ্লবিক লিপির জন্ম দিয়েছে। মূলত কম্পিউটারে রাখা তথ্যাদিকে এই লিপিতে রূপান্তর করে জমা রাখা হয়। এই লিপি দ্বিমিক বা বাইনারি লিপি নামে পরিচিত। এই দ্বিমিক লিপিতে কেবল ০ এবং ১ এই দুটি চিহ্নের অস্তিত্ব বিদ্যমান। এই এখন আমি কম্পিউটারে যা কিছু লিখছি, তার সবই কম্পিউটারের হার্ডডিস্কে ০ এবং ১ এর মিশেলে তৈরি নানারকম সংখ্যার সাহায্যে জমা হচ্ছে।
এতক্ষণ আমরা মানুষের উদ্ভাবিত নানারকম লিপি সম্পর্কে জানলাম। মানুষকে নানা কাজে সাহায্য করার জন্যই এই লিপিগুলোর উদ্ভব হয়েছিল। কিন্তু, ধীরে ধীরে এই লিখিত তথ্যাদিই মানুষের প্রভু হয়ে উঠছে। আমাদের কম্পিউটারের পক্ষে মানুষের ভাষা, অনুভূতি কিংবা স্বপ্ন বোঝা কঠিন। সে কারণে, আমরাই আমাদেরকে গণিতের ভাষায় কথা বলতে, সুখ-দুঃখ অনুভব করতে এবং স্বপ্ন বুনতে শেখাচ্ছি যাতে আমরা কম্পিউটারের কাছে বোধগম্য হতে পারি। কে কার প্রভু?
এখানেই কিন্তু শেষ নয়। জ্ঞানের ‘কৃত্রিম বুদ্ধিমত্তা’ নামক শাখাটি এই দ্বিমিক লিপি ব্যবহার করে কম্পিউটারের সাহায্যে যন্ত্রনির্ভর বুদ্ধিমত্তা নির্মাণের চেষ্টায় অনেকদূর এগিয়ে গেছে। তাই বুদ্ধি কেবল আর মানুষের থাকছে না, যন্ত্ররাও হয়ে উঠছে বুদ্ধিমান। ম্যাট্রিক্স বা টার্মিনেটরের মত সায়েন্স ফিকশন সিনেমাগুলোতে আমরা দেখতে পাই, বুদ্ধিমান যন্ত্রেরা মানবজাতির ক্ষমতা খর্ব করে নিজেরা পৃথিবীর অধীশ্বর হয়ে ওঠার চেষ্টা করছে। মানুষ যখন তাদের বিরূদ্ধে যুদ্ধ ঘোষণা করে যন্ত্রের উপর তাদের প্রভুত্ব ফিরে পাবার চেষ্টা শুরু করে, ততক্ষণে অনেক দেরী হয়ে গেছে। মানুষের চেয়ে বহুগুণ ক্ষমতাধর ও বুদ্ধিমান যন্ত্রেরা সমগ্র মানব প্রজাতিকে ধ্বংস করতে উদ্যত হয়েছে ।
* আক্কাদিয়ান মুখের ভাষা হিসেবে চালু হবার পরেও ব্যবসা, বাণিজ্য, দলিল, দস্তাবেজ তথা দাপ্তরিক কাজে সুমেরীয় ভাষাই ব্যবহার করা হত। সে কারণে নকলনবিশের মত দাপ্তরিক পদের জন্য নির্বাচিত একজন ছাত্রের জন্যও সুমেরীয় ভাষায় কথা বলাই ছিল দস্তুর।
তথ্যসূত্র
1 Andrew Robinson, The Story of Writing (New York: Thames and Hudson, 1995), 63; Hans J. Nissen, Peter Damerow and Robert K. Englung, Archaic Bookkeeping: Writing and Techniques of Economic Administration in the Ancient Near East (Chicago, London: The University of Chicago Press, 1993), 36.
2 Marcia and Robert Ascher, Mathematics of the Incas – Code of the Quipu (New York: Dover Publications, 1981).
3 Gary Urton, Signs of the Inka Khipu (Austin: University of Texas Press, 2003); Galen Brokaw, A History of the Khipu (Cambridge: Cambridge University Press, 2010).
4 Stephen D. Houston (ed.), The First Writing: Script Invention as History and Process (Cambridge: Cambridge University Press, 2004), 222.
